
项目情况概述
山东某焦化厂3台煤气鼓风机采用两用一备共母管的运行方式,每台风机配置一台高压变频器实现工艺对风量的调节。变频器采用一拖一自动工频旁路配置方式。客户自行在工频回路中配置液阻软启动装置,期望提高系统可靠性。实际运行中如果某台设备出现故障,变频器切 换至工频回路时,风机带载经液阻柜会再次经历一次启动过程。因液阻柜会产生一定的压降,风机转速会先下降一定幅度,然后快速提升至额定转速,在这个过程中会造成系统风量的急剧变化,风机震动大,风机轴承磨损严重。在液阻柜启动至额定转速切换瞬间电网会受到较大冲击,有时甚至无法完成切换,严重时将会造成上级断路器跳闸,对生产造成较大有影响。
现场工艺流程介绍
焦化厂煤气鼓风机属于焦化系统关键风机,对拖动改风机变频设备的 可靠性和稳定性要求较高 ,非计划停机一次可造成焦化炉内隔热材料严重受损,炉内结焦,造成重大经济损失,且会造成大量烟尘,在环保要求越来越严的情况下,严重的情况下会造成企业停产整顿,造成不可挽回的损 失,在此基础上我们提出双机热冗余高压变频器自动切换控制系统,经过现场的实际应用,证明该系统大大提高了煤气鼓风机运行的可靠性,具有广泛的应用推广价值,并产生可观的社会经济效益。

为了改善设备的运行情况,增加煤气鼓风机的稳定性和提高系统的冗余,经过我方的现场考察,确定采用希望威廉希尔500欧洲指数双机热冗余高压变频器双向自由切换系统,代替原来的系统运行方式。本次主要针对3台煤气鼓风机变频系统进行升级改造。
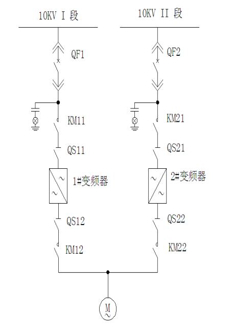
系统原理图

双机热冗余系统主回路原理图
考虑设备检修及供电冗余,两台变频器供电分别由 10KV I 段 QF1 和 10KV II 段 QF2 提供。
互锁及要求:
QS11、QS12、QS21、QS22 为隔离刀闸,在系统中形成明显断点, 提高检修安全性。非检修状态时,一直处于合闸位置。
QS11 与 KM11、QS12 与 KM12、QS21 与 KM21、QS22 与 KM22 相互联锁。
KM11 与 KM12、KM21 与 KM22 相互联锁。
合闸顺序:先合 QF1/QF2 ,再合 KM11/KM21 ,最后合 KM12/KM22。 分闸顺序:先分 KM12/KM22 ,再分 KM11/KM21 ,最后分 QF1/QF2。
系统控制方案

系统控制原理图
本项目采用2台型号为 SBH-100-500T2 高压变频器,配置一台协调 柜,接受来自 DCS 或协调柜本机触摸屏的控制信号。系统自动选择1号或者2号作为主机拖动电机运行,另一台高压变频器处于热冗余状态。当 需要手动切换至备用机运行或 1#机需要检修时,可自动切换至2#运行。
双机热冗余技术方案特点:
1、 采用协调柜对两台变频器进行协调控制,与现行其他方式的主从技术方案相比,系统冗余性更强,可靠性更高,切换速度更快。
2、 协调系统与变频器之间采用高速通讯模块,与传统采用RS485、硬接线等技术方案相比,数据传输速度更快,抗干扰能力更强。
3、 技术方案中无限流或均流作用器件,进一步提高系统可靠性。
4、 双机热冗余技术真正从系统原理上实现了冗余,任何部件的损坏或异常,不影响系统正常运行。
5、 一键切换功能,使设备使用简单,避免因人为操作原因而导致的系统故障。
6、 切换过程毫秒级,整个切换过程平滑无冲击,负载无任何波动,可 任意方向切换,不受切换次数等任何条件限制,是真正的无扰动双 向自由投切,对生产无任何影响。
技术应用意义

双机热冗余系统在切换过程时 ,两台变频器输出电流的切换时间为170μs,相当于在接到切换指令后,在一个中断周期内即可完成变频器输出模式切换。对电机、工艺完全没影响,可靠性极高。对于煤气鼓风机、 锅炉给水泵等重要负载的长期稳定性运行有积极作用。
项目推广价值
威廉希尔500欧洲指数第三代 SBH 高压变频器双机热冗余系统具有精度高、速度快、能够自动识别电机旋转方向等特点。切换时间达ms级,该系统可大大增强系统可靠性,切换过程平滑无任何电气和机械冲击,对正常生产无任何影响,真正实现了双向自由切换的无扰动,可大大提高负载使用寿命,充分保证生产的连续稳定性,特别适合各行业关键性负载上的使用。

应用成效

协调柜运行画面

变频器运行画面
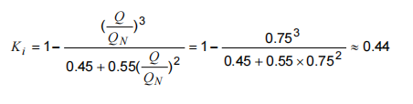
根据 GB 12497《三相异步电动机经济运行》强制性国家标准实施监督指南中的计算公式,即: 对风机、泵类平方转矩负载 ,采用挡板调节流 量对应电机输入功率 PL 与流量 Q 的修正关系为:
式中:Pe——额定流量时电机输入功率 kWQN——额定量
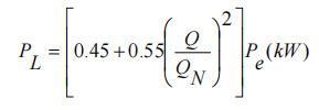
若流量的调节范围( 0.5~1 )QN,则节电率可按下式估算 :

如图所示 :当风机的实际风量 Q 与额定风量之比 Q/QN 约为0.75时,现采用双机热冗余方案调速时 ,其节电率:
考虑到双机热冗余系统的综合效率为 94% ,经计算验证,改造后变频系统对比原来工频系统工作,节电率达38%。
项目案例经验:
因两台变频器的供电不在同一段上,输入相序不完全一致,在变频器 切换过程中,对转速跟踪的速度要求较高,需要快速准确的跟踪。当 1# 变频停止给电机供电,电机因惯性在定子端产生感应电,若2#变频器运行时不能快速准确地跟踪感应电的相序,切换瞬间将会造成冲击,严重时 切换无法顺利完成。因此,要求两台变频器输出具有极高同步性,并且能在长时间运行过程中不断调节。